Top suggestions for Class 12 Maths All Formulas |
- Length
- Date
- Resolution
- Source
- Price
- Clear filters
- SafeSearch:
- Moderate
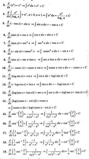
- Differentiation
Formulas - Integrals
7 1 - Class 12 Math
Chapter 3 Up Board - Grade
12 Math - Maths Grade 12
Unit 1 - Maths
Formula Sankhik in Hindi PDF - Avakian Formula in 12th
Class Maths - Math
Ka Sutra - Probability
Class 12 - Basic Algebra
Formulas List - Math
Sutra - 12th Class
Objective - 12th Differentiation
Formulas - Class 12 All Math
Chapters - Bihar Board Class
11 Maths Chapter 5
Top videos
See more videos
More like this
Free Math Resources | Printable & Digital Activities
SponsoredEverything you need to teach kids math all in one place! Visit Education.com today. …Site visitors: Over 100K in the past monthDifferentiated Resources · Teaching Tools · Learning Resources · Created by Experts
Types: Worksheets, Games, Lesson Plans, Songs, StoriesIXL Official Site | Learn K-12 Math Online
SponsoredIXL is easy online learning designed for busy parents. Used by 17M Students World…Real-Time Diagnostic · Research-Proven · Recover Learning Loss · Ad-Free
Prices are reasonable and worth every penny – Wendi Kitsteiner

Feedback